91短视频
学院主站
91短视频
91短视频概况
91短视频简介
现任领导
管理架构
系室简介
联系我们
师资队伍
名师风采
91短视频 导师
管理办公室
解剖学系
病理学系
生理学与病理生理学系
病原生物学与免疫学系
基础医学系
基础医学研究所
广州霍夫曼免疫研究所
科学研究
91短视频 动态
91短视频 通知
重点学科
91短视频 平台
91短视频 成果
科普专栏
本科生教育
本科生动态
教育通知
基础医学专业简介
实践教学
教学能力提升
质量工程
教学成果
招生工作
就业工作
本科生导师
91短视频 教育
91短视频 导师
91短视频 动态
教育通知
学位授权点
招生工作
就业工作
91短视频 报考服务系统
党团工会
党建
工会
团委
人才招聘
公开招聘
高层次人才
博士后
专题网站
基础医学实验教学中心
基础医学虚拟仿真实验教学中心
遗体捐献纪念网站
院长信箱
本科生教育
本科生动态
91短视频
»
本科生教育
»
本科生动态
» 正文
本科生动态
教育通知
基础医学专业简介
实践教学
教学能力提升
质量工程
教学成果
招生工作
就业工作
本科生导师
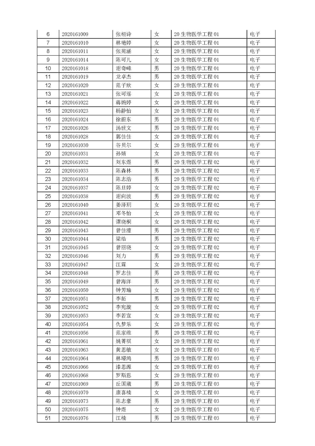
91短视频 生物医学工程专业2020级培养方向分班公示
发布日期:2021-07-15 作者: 来源: 点击:
上一篇:
91短视频 第二届“医学形态学实验教学标本切片大赛”
下一篇:
活动预告|91短视频 人体标本馆科普基地第八期科普之旅——一呼一吸非小事,呼吸健康应重视